Viimeksi julkaistu 16.5.2022 12.51

Eduskunnan vastaus EV 52/2022 vp HE 30/2022 vp  Hallituksen esitys eduskunnalle laiksi työntekijän eläkelain muuttamisesta ja siihen liittyviksi laeiksi

Asia

Hallituksen esitys eduskunnalle laiksi työntekijän eläkelain muuttamisesta ja siihen liittyviksi laeiksi (HE 30/2022 vp). 

Valiokuntakäsittely

Valiokunnan mietintö: Sosiaali- ja terveysvaliokunta (StVM 6/2022 vp). 

Päätös

Eduskunta on hyväksynyt seuraavat lait: 

Laki työntekijän eläkelain muuttamisesta 

Eduskunnan päätöksen mukaisesti 
muutetaan työntekijän eläkelain (395/2006) 153 §:n 1 momentti, 166 §:n otsikko ja 2 momentti, 167 ja 169 §, 171 §:n otsikko ja 1—3 momentti, 174 §:n 2 kohta sekä 194 ja 201 §, 
sellaisina kuin niistä ovat 153 §:n 1 momentti laissa 945/2016, 169 § osaksi laissa 1112/2007, 171 §:n otsikko ja 3 momentti laissa 1121/2006, 171 §:n 1 momentti laissa 220/2011, 171 §:n 2 momentti laissa 950/2021, 174 §:n 2 kohta laissa 69/2016, 194 § laissa 794/2012 sekä 201 § laissa 317/2015, seuraavasti: 
153 § 
Työntekijän työeläkevakuutusmaksun määrä 
Työntekijän työeläkevakuutusmaksu on 4,2 prosenttia lisättynä puolella siitä prosenttimäärästä, jolla tämän lain mukaisen vakuutuksen keskimääräinen työeläkevakuutusmaksu prosentteina palkasta ylittää luvun 18,2. Keskimääräinen työeläkevakuutusmaksu lasketaan ottaen huomioon 169 §:n 5 momentissa tarkoitetut maksun alennukset. 
 Muuttamaton osa säädöstekstistä on jätetty pois 
166 § 
Vakuutusmaksujen ja vastuuvelan laskuperusteet 
 Muuttamaton osa säädöstekstistä on jätetty pois 
Sosiaali- ja terveysministeriön asetuksella säädetään eläkesäätiöiden vastuuvelan laskuperusteet. 
167 § 
Ehtojen ja laskuperusteiden yhdenmukaisuus 
Sosiaali- ja terveysministeriö saa vain erityisestä syystä vahvistaa eläkevakuutuksen ehtoihin tai laskuperusteisiin eroja, jotka vaikeuttavat tämän lain toimeenpanoa tai eläkelaitosten yhteisten asioiden hoitamista. 
169 § 
Työeläkevakuutusyhtiölle maksettavien vakuutusmaksujen laskuperusteet 
Työeläkevakuutusyhtiölle maksettavien vakuutusmaksujen laskuperusteista on käytävä ilmi, miten vakuutusmaksu lasketaan ja miten se jakautuu eri kululajeja varten perittäviin osiin. 
Työeläkevakuutusyhtiön on laadittava vakuutusmaksujen laskuperusteet siten, että työnantajia kohdellaan yhdenmukaisesti. Laskuperusteet voidaan laatia siten, että työnantajan toteutunut työkyvyttömyyseläke- ja kuntoutusrahakorvausmeno otetaan huomioon vakuutusmaksua määrättäessä. 
Työeläkevakuutusyhtiöiden vakuutusmaksun suuruutta määrättäessä otetaan vuosittain huomioon työeläkevakuutusyhtiön osuus 178—181 §:ssä ja Eläketurvakeskuksesta annetun lain 5 §:ssä mainituista yhteisesti kustannettavista kuluista. 
Työeläkevakuutusyhtiölle maksettavien vakuutusmaksujen laskuperusteisiin on sisällyttävä työeläkevakuutusmaksun hoitokustannusosaa koskevat perusteet. Hoitokustannusosalla tarkoitetaan työeläkevakuutusmaksun sitä osaa, jolla katetaan työeläkevakuutusyhtiön tämän lain mukaisen toiminnan liikekulut lukuun ottamatta sijoitustoiminnasta syntyviä tai erityisestä syystä muilla maksunosilla katettavia liikekuluja. Hoitokustannusosan laskuperusteet on laadittava 168 §:n 1 momentissa säädetty turvaavuus huomioon ottaen siten, että hoitokustannusosan tuotto vastaa työeläkevakuutusyhtiön tämän lain mukaisen toiminnan liikekuluja ja että työnantajan hoitokustannusosa on kohtuullisessa suhteessa työnantajan vakuutuksista aiheutuviin liikekuluihin. 
Kun työeläkevakuutus on järjestetty työeläkevakuutusyhtiössä, työnantajalla on oikeus osuuteen vakuutusliikkeen mahdollisesti tuottamasta ylijäämästä. Laskuperusteet tästä aiheutuville vakuutusmaksujen alennuksille tai muille vastaaville eduille on laadittava siten, että kohtuullisessa määrin otetaan huomioon ylijäämän kokonaismäärä ja muodostumistapa. Vakuutusmaksujen alennukset ja muut vastaavat edut eivät saa vaarantaa työeläkevakuutusyhtiöistä annetun lain 7 luvun mukaisten vakavaraisuusvaatimusten täyttymistä. 
Mitä 5 momentissa säädetään, ei koske sellaista tilapäistä työnantajaa, joka on järjestänyt työntekijöidensä eläketurvan 147 §:ssä tarkoitetulla tavalla. 
171 § 
Vanhuuseläkevastuun tarkistaminen 
Vanhuuseläkkeiden rahastoituja osia tarkistetaan vuosittain määrällä, joka lasketaan 166 §:ssä tarkoitettuihin laskuperusteisiin sisällytettävän eläkevastuun täydennyskertoimen perusteen avulla. Täydennyskerroin määritellään ottaen huomioon eläkkeiden turvaamisesta johtuvat vaatimukset ja eläkelaitosten vakavaraisuus vähintään neljännesvuosittain tarkasteltuna. Täydennyskerroin on määriteltävä siten, että sen arvo tukee vanhuuseläkkeiden rahoitusta ja eläkelaitosten pitkäjänteistä sijoitustoimintaa. Täydennyskerroin voi pienentää vanhuuseläkkeiden rahastoituja osia vain silloin, kun eläkelaitosten keskimääräinen vakavaraisuus on alentunut merkittävästi. Täydennyskertoimen arvon laskee Eläketurvakeskus eläkelaitosten antamien tietojen perusteella. 
Jos eläkelaitosten osaketuottosidonnaisten lisävakuutusvastuiden yhteismäärä on suurempi kuin yksi prosentti eläkelaitosten 168 §:n 2 momentissa tarkoitettujen osaketuottosidonnaisen lisävakuutusvastuun laskennan perusteena olevien vastuuvelkojen yhteismäärästä, ylittävä osuus on käytettävä tämän pykälän 1 momentissa tarkoitettujen rahastoitujen osien tarkistuksiin. 
Tässä pykälässä tarkoitetut tarkistukset voidaan kohdistaa erilaisina eri ikäluokkien vastaisten ja alkaneiden vanhuuseläkkeiden rahastoituihin osiin siten, että vakuutusmaksutason kehitys muodostuu pitkällä aikavälillä tasaiseksi. 
 Muuttamaton osa säädöstekstistä on jätetty pois 
174 § 
Eläkelaitoksen vastuu vanhuuseläkkeestä 
Kukin työeläkelaitos on vastuussa: 
 Muuttamaton osa säädöstekstistä on jätetty pois 
2) määrästä, jolla eläkelaitoksen vastuulla olevaa osaa on tarkistettu 171 §:n nojalla ja sosiaali- ja terveysministeriön vahvistamien tai antamien laskuperusteiden mukaisesti; 
 Muuttamaton osa säädöstekstistä on jätetty pois 
194 § 
Työnantajan oikeus saada tietoja 
Työnantajalla on oikeus saada eläkelaitokselta salassapitosäännösten ja muiden tiedon saantia koskevien rajoitusten estämättä talous- ja henkilöstöhallintoaan ja yrityksen työeläkevakuutusmaksun tarkastamista varten välttämättömät tiedot tämän lain mukaan myönnetystä eläkkeestä ja sen muodosta, myönnetyn eläkkeen alkamis- ja päättymispäivästä sekä työnantajan vakuutusmaksuun vaikuttavista tekijöistä. 
201 § 
Tiedot vanhuuseläkevastuiden tarkistamiseksi 
Eläketurvakeskuksella on oikeus määräämässään ajassa ja muodossa salassapitosäännösten ja muiden tiedon saantia koskevien rajoitusten estämättä saada eläkelaitokselta 171 §:n 1 momentissa tarkoitetun eläkevastuun täydennyskertoimen laskemiseksi tarvittavat tiedot eläkelaitoksen vastuuvelasta ja vakavaraisuuspääomasta sekä 168 §:n 3 momentissa tarkoitetun keskimääräisen vuosituottoprosentin laskemiseksi tarvittavat tiedot eläkelaitoksen vakavaraisuusrajan laskemisesta ja sijoitusten hajauttamisesta annetun lain 11 §:ssä tarkoitetulla kehittyneissä valtioissa säännellyllä markkinalla kaupankäynnin kohteina olevien osakesijoitusten määrästä ja tuotosta. 
 Voimaantulopykälä tai –säännös alkaa 
Tämä laki tulee voimaan    päivänä       kuuta 20  . 
 Lakiehdotus päättyy 

Laki työeläkevakuutusyhtiöistä annetun lain 14 ja 18 §:n muuttamisesta 

Eduskunnan päätöksen mukaisesti 
muutetaan työeläkevakuutusyhtiöistä annetun lain (354/1997) 14 §:n 2 momentti ja 18 §:n 2 momentti, sellaisina kuin ne ovat laissa 442/2012, seuraavasti: 
14 § 
Vastuuvelka 
 Muuttamaton osa säädöstekstistä on jätetty pois 
Vakuutusmaksuvastuu vastaa tulevista vakuutustapahtumista johtuvien suoritusten pääoma-arvoa siltä osin kuin yhtiölle on syntynyt vastuuta työntekijän eläkelain tai yrittäjän eläkelain mukaisesti. Vakuutusmaksuvastuuna pidetään myös työntekijän eläkelain 169 §:n 5 momentissa tarkoitettuja vakuutusmaksun alennuksia tai muita vastaavia etuja varten ja jäljempänä sanottujen tappioiden peittämistä varten varattua vastuuta, joka jakautuu vakuutuksenottajille ositettuun (ositettu lisävakuutusvastuu) ja osittamattomaan osaan (osittamaton lisävakuutusvastuu). Ositettua lisävakuutusvastuuta saadaan käyttää vain työntekijän eläkelain 169 §:n 5 momentissa tarkoitettuihin vakuutusmaksun alennuksiin tai muihin vastaaviin etuihin. Vakuutusmaksuvastuuta lisäävää tai vähentävää osittamatonta lisävakuutusvastuuta voidaan käyttää vastuuvelan laskuperusteiden muuttamisesta syntyneen tappion sekä myös muun tappion peittämiseen. 
 Muuttamaton osa säädöstekstistä on jätetty pois 
18 § 
Siirrot ositettuun ja osittamattomaan lisävakuutusvastuuseen 
 Muuttamaton osa säädöstekstistä on jätetty pois 
Jos työeläkevakuutusyhtiön vakavaraisuuspääoma on suurempi kuin vakavaraisuusraja, yhtiö voi siirtää ositettuun lisävakuutusvastuuseen enintään työntekijän eläkelain 169 §:n 5 momentissa tarkoitetulla tavalla lasketun määrän. 
 Muuttamaton osa säädöstekstistä on jätetty pois 
 Voimaantulopykälä tai –säännös alkaa 
Tämä laki tulee voimaan    päivänä       kuuta 20  . 
 Lakiehdotus päättyy 

Laki eläkelaitoksen vakavaraisuusrajan laskemisesta ja sijoitusten hajauttamisesta annetun lain 17 §:n muuttamisesta 

Eduskunnan päätöksen mukaisesti  
muutetaan eläkelaitoksen vakavaraisuusrajan laskemisesta ja sijoitusten hajauttamisesta annetun lain (315/2015) 17 §:n 1 momentti, sellaisena kuin se on laissa 956/2021, seuraavasti: 
17 § 
Tuottovaatimusriski ja vakuutusriski 
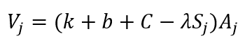
Tuottovaatimusriskiluokan riskiarvo lasketaan sen estämättä, mitä 12 §:ssä säädetään, kaavalla 
Laskentakaava.
jossa k on vastuuvelan laskemisessa käytettävä diskonttauskorko, b on laskentahetkeä seuraavana päivänä voimassa oleva työntekijän eläkelain (395/2006) 171 §:n 1 momentissa tarkoitettu eläkevastuun täydennyskerroin, Sj on tuottovaatimusriskille määritelty tappio-olettama ja Aj on vastuuvelka, josta on vähennetty työeläkevakuutusyhtiöistä annetun lain 14 §:n 2 momentissa tarkoitettu osittamaton ja ositettu lisävakuutusvastuu, eläkesäätiöistä ja eläkekassoista annetun lain 7 luvun 2 §:n 2 momentissa tarkoitettu lisävakuutusvastuu sekä erät, joita yrittäjän eläkelain (1272/2006) 139 §:n 2 momentin mukaan ei oteta huomioon vakuutusmaksuvastuussa. 
 Muuttamaton osa säädöstekstistä on jätetty pois 
 Voimaantulopykälä tai –säännös alkaa 
Tämä laki tulee voimaan    päivänä       kuuta 20  . 
 Lakiehdotus päättyy 

Laki merimieseläkelain 154 ja 155 §:n muuttamisesta 

Eduskunnan päätöksen mukaisesti  
muutetaan merimieseläkelain (1290/2006) 154 §:n 2 kohta ja 155 §, sellaisena kuin niistä on 154 §:n 2 kohta laissa 78/2016, seuraavasti: 
154 § 
Eläkekassan vastuu vanhuuseläkkeestä 
Eläkekassa on vastuussa: 
 Muuttamaton osa säädöstekstistä on jätetty pois 
2) määrästä, jolla eläkekassan vastuulla olevaa osaa on tarkistettu 155 §:n nojalla ja sosiaali- ja terveysministeriön antamien laskuperusteiden mukaisesti; ja 
 Muuttamaton osa säädöstekstistä on jätetty pois 
155 § 
Vanhuuseläkevastuiden tarkistaminen eläkevastuun täydennyskertoimella 
Vanhuuseläkkeiden rahastoituja osia tarkistetaan vuosittain määrällä, joka lasketaan 202 §:n nojalla säädettyihin laskuperusteisiin sisällytettävän työntekijän eläkelain 171 §:ssä tarkoitetun eläkevastuun täydennyskertoimen perusteen avulla. 
 Voimaantulopykälä tai –säännös alkaa 
Tämä laki tulee voimaan    päivänä       kuuta 20  . 
 Lakiehdotus päättyy 

Laki eläkesäätiöistä ja eläkekassoista annetun lain 6 luvun 3 §:n muuttamisesta 

Eduskunnan päätöksen mukaisesti 
muutetaan eläkesäätiöistä ja eläkekassoista annetun lain (946/2021) 6 luvun 3 §:n 3 momentti seuraavasti: 
6 luku 
Tilinpäätös ja toimintakertomus 
3 § 
Tasaava ja osakaskohtainen kirjanpito eläkesäätiössä 
 Muuttamaton osa säädöstekstistä on jätetty pois 
Tasaavassa järjestelmässä eläkesäätiölle suoritettava vakuutusmaksu jaetaan kunkin osakkaan hyväksi eläkesäätiön säännöissä määrätyllä tavalla. Osakkaan vastuuvelan katteena on vastuuvelkaa vastaava suhteellinen osa eläkesäätiön varoista. 
 Voimaantulopykälä tai –säännös alkaa 
Tämä laki tulee voimaan    päivänä       kuuta 20  . 
 Lakiehdotus päättyy 
Helsingissä 11.5.2022 

Eduskunnan puolesta

puhemies   
pääsihteeri